Another Dow Jones meltdown as Trump’s insane trade war begins
AND ANOTHER ONE!
ANOTHER meltdown on the US markets as Trump’s insane 104% China tariff trade war takes effect tonight:
The Dow opened on a massive 1000 point rebound and ended up 320 points down and the S&P and the Nasdaq bled out:

Trump has upended a century of Western Economic and Political Philosophy to start a reign of chaos.
This is the future he is fighting for..

…His inane belief in starting a trade war is that it links to actual war.
He’s here to fight the great last battle for a white Christofascist American super state that stretches from Canada to Greenland to the Panama Canal.
He believes God saved him from assassination for this purpose. Oh and to annex Gaza, God want’s him to do that too. And make Putin and Ally, God is pretty clear on that too apparently.
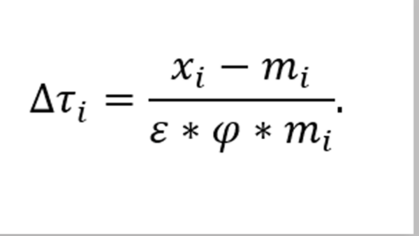
Nothing helps terrify smart people in markets more than this equation:

It’s the bullshit pseudo economic formula that no one else on the planet uses other than a small evangelical clique around Trump to justify the Tariffs.
Something almost every economist on the planet has called out as bullshit.
That’s why the markets are shitting themselves, this is all insane.
Trump wants chaos, he believes conflict is coming, he intends to stay on for a 3rd term because he’s a fascist who will never hand over power again willingly.
People are still refusing to believe he is what he actually is.
By the way, is now the best time to allow the Big Aussie Banks to lower their capital requirements as Trump tips the planet into a global trade war?
Isn’t this the very crisis that Reserve Bank Governor Adrian Orr was preparing us for?
Folks, Trump intends to plunge the planet into war to reshape his white Christofascist American super state, that’s why none of this makes sense, because it doesn’t make sense until you appreciate how deep Trump is into his god blessed narcissistic delusion!
Folks, it’s only going to get progressively worse from here.
He’s only been in power for 12 weeks.
Don’t check your KiwiSaver.

Increasingly having independent opinion in a mainstream media environment which mostly echo one another has become more important than ever, so if you value having an independent voice – please donate here.







Alienation
“The story so far: In the beginning the Universe was created. This has made a lot of people very angry and been widely regarded as a bad move.”– Douglas Adams, The Restaurant at the End of the Universe
In his droll and darkly comedic book, Douglas Adams, captured the Zeitgeist of living in an imperialist universe. The story starts with destruction of Englishman Arthur Dent’s house by an uncaring town council, this perceived personal horror is enlarged to comedic effect, to the destruction of the entire Earth by an uncaring space faring Vogon empire.
It was Karl Marx who first popularised the word “alienation” to describe most people’s lived experience in 19th Century capitalist Britain.
The industrial revolution started in England, England was the birthplace of capitalism. the 19th Century German philosopher and economist, Karl Marx moved to England to study British capitalism, and made it his life’s work. Marx determined that capitalism is an economic system in permanent crisis.
To escape the cycle of boom and bust and permanent crisis, Victorian Britain invented modern imperialism. This has made a lot of people very angry and been widely regarded as a bad move. sic
The story so far:
If you accept that the USA is an imperialist country, as most experts who study the subject do,…
Then you must also accept that no successful empire can not project its power or prevail in war, (especially not in a war with another rising imperialist country), without a powerful industrial base. Most experts who study the subject have determined that the US is an empire in decline.
To arrest this decline, to remain economically and more importantly, militarily competitive, the US must bring industrial production back home. Trump’s tariff trade war is preparation for world war. That is stage 1 of Trump’s plan to ‘Make America Great Again’.
Just as the British people benefited from imperialism. The American people have benefitted from the super profits that flow from imperialism. A declining imperialist super power can not sustain those higher wages and living standards.
As the wages of Americans are higher than the wages paid in China and Vietnam, experts have predicted that goods manufactured in the US will be more expensive. To arrest America’s economic decline and remain economically competitive with their imperialist rivals, wages and living conditions in the US must be driven down.
That is stage 2 of Trump’s plan to ‘Make America Great Again’.
Donald Trump is the embodiment of the fascistic Vogons, who wanted to destroy the Earth to build a hyperspace interchange.
Trump plan is to enact the world’s first orange arse kissing olympics, pucker up and get in line world leaders.
RNZ Headline: “‘This is not what we voted for’: Billionaires turn on Trump”.
If the billionaires voted for Donald Trump their combined votes would count for diddly squat.
In fact they bought Donald Trump the presidency, or assumed that they had, and unfortunately their money counted for a lot.
Now they are experiencing buyers remorse.
For decades ordinary voters in the west have been delivered governments and policies which were “not what they voted for” thanks to those same billionaires.
The billionaires now have a situation which was “not what they paid for”.
The world is facing a potential catastrophe which was not what it wanted or voted for, and the peoples of the western powers, including the Realm of New Zealand, now have to acknowledge their responsibility for the actions of a political system which has simply gone berserk. This vile farce of a pseudo-democracy must be ended before it destroys our world.
‘Wicked, godless red menace’ Yes that describes MAGA hat wearers.
@stevie – totally agree but can I add, unintelligent, uneducated, brainwashed conspiracy theorists.
Now finally people will understand why Trump went bankrupt so many times.
A complete idiot, backed by another complete idiot in Navarro.