Don’t state house tenants want to live in Asquith Ave in the Prime Minister’s electorate?
In an earlier post I detailed how the Labour government has embarked on the mass privatisation of state house land amid a housing catastrophe for people on low and middle incomes.
The response to an Official Information Act request shows that in the last three years Labour has sold $131 million of former state house land – mostly through five LSPs (Large Scale Projects) being run by Kāinga Ora – listed in the table below. (Land sales in a sixth LSP in East Porirua have not yet begun!)
Former state house land sales

In addition to the $131million in land sold so far, hundreds of millions more is in the pipeline to be sold.
According to Kāinga Ora the total land involved with these LSPs is 458 hectares with half this land projected to be sold to private property developers – all in prime locations which would be ideal for the large-scale state house building so desperately needed.
I pointed out the pattern being followed in each LSP is the same. Demolish hundreds of state houses, sell most of the land to private property developers and use the proceeds to build small numbers of new state houses – small in terms of the numbers actually needed.
This pattern began with the Helen Clark Labour government in the redevelopment of the Tamaki area of Auckland (Glen Innes, Point England and Panmure), was continued by National under John Key and is being continued apace under the current Labour government.
In addition to the land sales under the LSPs, Labour has sold former state house land elsewhere. For example in Mt Albert’s Asquith Avenue.

Don’t state house tenants want to live in Asquith Ave in the Prime Minister’s electorate?
Land like Asquith Avenue is needed for the industrial-scale state house building programme which we urgently need.
Sale of state houses
When it comes to the sale of state houses themselves the current Labour government is continuing the practice of the former National government. The OIA response for state house sales from the last 10 years runs to 57 pages and thousands of state houses sold. Most of these sales occurred under the previous National government including the infamous sale of all 1124 state houses in Tauranga to an offshoot of IHC. But plenty more have been sold under Labour.
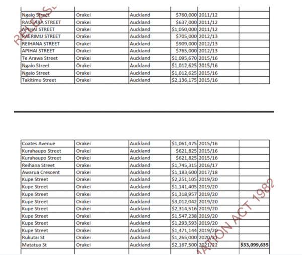
For example National began the sale of state houses in Auckland’s Orakei suburb but Labour has been just as ruthless.

Meanwhile the mass sales of state houses has occurred under the current Labour government in places like Papakura (over 100 homes for $68 million) and New Plymouth (76 homes for $30.3 million)
The overall pattern being followed by successive Labour and National governments is the sale of state houses and former state house land in high and middle income neighbourhoods and the concentration of state houses in lower income areas.
When confronted by the housing catastrophe for low and middle income tenants and families government spokespeople have created a smokescreen of bluff and bluster.
As I pointed out earlier, despite the 25,000 on the state house waiting list (up from 5,000 when Labour came to power in 2017) the government’s plan is to keep the total number of state houses at just 3.6% of the total housing stock (In 1990 it was 5.6%) and by selling crown land to fund state house building, the government doesn’t have to put in a cent.
When Labour came to power in 2017 we had 63,315 state houses – as at June this year we have 69,509. An average increase of just over 1200 per year for the 25,000 on the state house waiting list!
Labour cares as little as National about low and middle income citizens when it comes to housing. Any claim to the contrary is simply untrue.







There is a huge need in New Zealand to house people, families in particular. These families, on two incomes but both are only around about the minimum wage, simply cannot afford the $600 a week rent, $250 in groceries, and $100 weekly fuel without making regular sacrifices. Power is still high in New Zealand compared to a lot of other western countries; schools are charging more in fees, uniform costs, etc. Then there’s insurance which is costly and should be considered a must-have in today’s age. Then the irregular items like WoF’s, car and home maintenance, car registration. What is left for those on low to medium incomes for savings?
Spoken as a real left winger it is a sin to have ambition and all those who want to rent have to go through the state so you can be vetted . I hear Russia is in need of new residents to replace all those killed trying to invade a neighbour
Tell me Trevor,
Compare and contrast the pre school numbers and treatment of children in the USSR between 1955 and 1975 and in Auckland between 2007 and today.
What good info John M. Thank you for bringing this housing information to the fore. It is in effect on a par with the loss of the commons in England.
https://en.wikipedia.org/wiki/Common_land
Why ever did so many English and Scottish come here and relax,thinking they had found Godzone (when we got some unapproved devilment out)? To turn round and carry forward this sort of thing shows that one must remain sharp and wary of backsliding in oneself and others, for fear of smiling assassins, or the state is cut down and you’re just left with the ass.
And it seems to me that the state is giving its faulty systems Maori names for a sort of positive brownwash that will deter us from critiquing what’s going on, and will lead any blame from gummint towards Maori aspirations for co-governance. Perception will build against them. Some people are ready to downgrade anything Maori. You might say our politicians aren’t that malicious but after Douglas et al and the Great Act of Treasonable Exchange (Gategate) we should be wised up.
Common land background:
Monbiot – https://www.theguardian.com/commentisfree/2020/aug/19/pandemic-right-to-roam-england
https://www.thelandmagazine.org.uk/articles/short-history-enclosure-britain
http://www.andywightman.com/docs/secur_comm8.pdf (Common Land in Scotland)
Still debated 1954 – https://hansard.parliament.uk/Commons/1954-05-14/debates/046549c3-3855-413a-89d2-8f6a93c66cb7/DerelictCommonLand
Well if we keep voting in the same two parties we can only blame ourselves for what is essentially a self inflicted housing crisis.
The only difference John is that under National, the state house sell off was front page news for years. Jacinda comes to power and the MSM has nothing to say about it until recently. Whether you are a NAtTs or Labour supporter it certainly doesnt pass the sniff test.
I despise the current government and their pretend Labour party, they are so far from governing for all NZers they should be impeached if we had such a thing.
Yes, Labour is guilty too when I applied for State housing in 1981 in Lower Hutt the application form asked us where we want to live or prefer to live. I ticked central Lower Hutt and when I got interviewed by the person in charge of this role, he/she would always say you won’t get a house there and try and push me to live in Pomare or Cannon Creek Porirua in one of those big ugly blocks now mostly knocked down. Such was the racism and discrimination in state agencies. Now who ended up in the nice areas and were eventually able to purchase the houses they were allocated. This is yet another example of white privilege and the blatant racist practices of the state.
Great investigative journalism on TDB. Thanks John for the straight up facts.
Well sort of except for the fact that there is some fairly dense housing about 300 meters away (at most) from the Asquith Ave site on the other side of the rail line. That is Mt Albert too John.
Not everyone on the waiting list deserves a house. First, need to separate the violent criminals who make life difficult for their neighborhood, from the list. Next how many had more than 3 complaints from their neighbors? These people do not deserve a state home! Maybe a 1 way ticket to an isolated island, where they can grow own food, will be sufficient for them.
Why should good tax paying citizens pay to house and feed the ungrateful, when there is never an appreciation, but instead get dumped on! The rights of this criminal elements appear to supersede the rights of tax payers to live peacefully.
Benny please remember this is a government of caring and sharing the offenders need a big hug and lots of love and a big smile
Agree. I don’t think these anti social tenants should be housed by the state. They are making decent people with few resources lives hell.
Do you have a particular island In mind? I would provide shelter for them and send in food supplies, but after that they are on their own. They have broken the social contract.
Why should good tax paying citizens pay to house and feed the ungrateful? Because we can and because it makes society and all of us who live in it better off. Taking care of others is the absolute best thing you can do as a human being and you don’t need a thank you note or special praise for doing it.
Paying taxes is how we keep things ticking over, it’s how we bring about generational change and lift living standards over time. From each according to their ability, to each according to their need.
Thanks Peter some semblance of rationality in this debate.
Do people really think treating worse than we would treat an animal an okay thing. We know why people join gangs, to feel a part of something, something they have never had before. I wonder how many watched the Sunday programme much of it done in a prison. I get these people who have been on the scrap heap.
So send your adress to the housing department and say you are happy to have their unruly tenents move next door to you .
Childish comment Trevor.
I have said to lots of people a person coming out of prison who is a pedophile can live next door to me, but I would want to know so that I can protect my mokopuna and other children.
These people have to live somewhere.
Polish your halo Benny. We are not all saints but clearly you are.
Explains a lot and how my rent went up 10% in one hit, and literally doubled over about a six to seven year period (Tauranga). Shocking shame on all the governments.
But but but, our Prime Minister says her government has built more state houses than since the 70’s. And she’s right but our tricky PM is only half telling the truth. Again.
Yes they have built state houses and yes the new ones are superior to the originals but on no section of course. Yet in the true world…they also sold and demolished almost as many. But they’ve made plenty in fiscal gains!
And yet they are so concerned about privatisation that they have just passed a semi super majority clause in the 5 Waters legislation to attempt to stop the next government scrapping it. But selling land dedicated to social housing to private developers is sweet as? Labour and the Greens are just so confusing, aren’t they?
Let’s just agree that Labours social housing policy starts and ends with Fenton St!
Fantastic work again Mr Minto, on applying transparency to this opaque government.
It’s about housing density, and having more than one priority. Existing state homes can be demolished and an increased amount of new state homes can be built on a smaller footprint. Freed up land that is sold to developers enables construction of homes for the private market. Both public and residential stocks increase, and both are measures that governments are judged on. Clearing the state housing waiting list might not be a vote winner for those struggling to attain their own home. Nor would it be for the surrounding neighbourhoods if all the land was used only for intensified state homes, or “ghettos”.
Yep so no different than National then as Mr Minto pointed out.